본문 바로가기
산업안전기사/[실기] 필답형

[산업안전기사] [필답형] 계산 문제 모음

by 패러데이 2022. 6. 24.
※ 무료 정리본 사용법 (update: 21년 2회까지 / 이것만 봐도 합격 무방)

[출제 횟수 정리]
* 빨간색5회 이상 출제 (Click)

* 파란색4회 이상 출제 (Click)
* 초록색 3회 이상 출제 (Click)
* 주황색2회 이상 출제 (Click)
* 검은색1회 이상 출제 (Click)

[주제별 정리]
* 계산문제 모음 (현재 게시물)
* 헷갈리는 내용 모음 (click)

[한 번에 합격하는 방법]
산업안전기사는 어려운 시험이 아닙니다. 2회 이상 출제 내용만 3회 반복하세요.
우리는 60점 이상만 맞으면 됩니다. 2회 이상 출제 내용(빨/파/초/주)은 3회 반복하세요.

가끔가다 나오는 1회 이상 출제 문제는 변별력을 주기 위한 문제입니다. 과감히 버리세요.
불안하면 챙기셔도 되지만 우리는 적은 시간 내에 합격해야 하기 때문에 과감히 버리시는 걸 추천합니다.

문제 옆에 있는 숫자는 출제 연도와 회차입니다.
21-2는 예를 들면 21년 2회차에 출제되었던 내용이라는 것입니다.

 

 

 

[고장률/신뢰도]

[① 고장률]

S 제품 10,000시간 동안 10개 제품 고장 발생 시

     고장률과 900시간 동안 적어도 1개 제품 고장발생확률을 구하시오 (20-1, 13-2)

 

1시간 가동 시 고장발생확률이 0.004일 경우 평균고장간격과 10시간 가동시 기계의 신뢰도는? (15-1)

 

고장률이 1시간당 0.01로 일정할 경우 처음 100시간 동안 고장이 발생할 확률? (15-2, 15-3)

 

트랜지스터 고장률: 0.00002, 저항 고장률: 0.0001, 트랜지스터 5개와 저항 10개가 모두 직렬로 연결된 회로

      ① 1500시간 가동시 신뢰도, 평균 수명 (11-1)

 

[② 신뢰도]

에어컨 스위치의 수명은 지수분포를 따르며, 평균 수명은 1,000시간이다. 다음을 계산하시오 (14-2)

(1) 새로 구입한 스위치가 향후 500[시간]동안 고장 없이 작동할 확률을 구하시오.
(2) 이미 1,000[시간]을 사용한 스위치가 향후 500[시간] 이상 견딜 확률을 구하시오.

 

[신뢰도] 전체의 신뢰도 0.85로 설계하고자 할 때 부품 Rx의 신뢰도를 구하시오. (21-2)

* 0.85 = 0.9×[1-(1-0.8)(1-0.8)]×[1-(1-0.7)(1-Rx)]

* Rx = 0.945 = 0.95

 


[재해율]

[① 연천인율]

▣ 연간재해자수 8, 연간 근로자수 400, 연천인율은? (21-2)

평균근로자 1,500, 재해건수 60, 이 중 사망 2, 근로손실일수 1,200, 연천인율은? (18-1)

 

 

[② 도수율]

평균근로자 800, 재해건수 5, 8시간 연간 300일 근무, 도수율은? (20-4)

 

평균근로자 300, 월 평균 재해건수 2, 휴업일수 219, 8시간 연간 300일 근무, 도수율은? (20-4)

 

▣ 도수율이 18.73, 근로자 1명에게 평생동안 몇 건의 재해 발생?

     (일 8시간, 월 25일, 12개월 근무, 평생근로년수 35년, 연잔업 240시간) (16-1)

     팁! 평생작업시 예상재해건수: 환산도수율로 구한다

 

 

[③ 강도율]

연 평균 근로자 300, 8시간, 300일 근무, 휴업일수 300,

      사망 재해 2, 4급 요양재해 1, 10급 요양재해 1명, 강도율은? (21-1)

       *장애등급에 따른 근로손실일수:

       사망 1등급, 영구 전노동 불능상해(1~3급), 영구 일부노동 불능상해(4급~14급)

 

▣ 근로자 1,440, 연간 주 40시간, 50주의 작업

     평균출근 94[%], 지각 및 조퇴 5,000시간, 근로손실일수 1,200,

     사망 1, 조기출근과 잔업은 100,000시간. 강도율은? (19-1, 17-2)

 

▣ 도수율, 강도율 계산 (12-3)

[조건] 근로자수(3월말 300명, 6월말 320명, 9월말 270명, 12월말 260명)

          연 재해건수: 15건, 휴업일수 288일,  8시간, 연간 280일 근무

 

 


[종합재해지수]

▣ 종합재해지수 계산 (20-2, 19-2, 17-1, 13-2)

[조건] 평균 근로자수: 300명, 월평균 재해건수: 2건, 휴업일수: 219일, 일 8시간 연간 280일 근무

 

종합재해지수 계산 (20-3)

[조건] 평균 근로자수: 400명, 재해건수: 80건, 근로손실일수: 800일, 일 8시간 연간 280일 근무

 

종합재해지수 계산 (20-3)

[조건] 연 재해건수: 17건, 근로손실일수: 420일, 휴업일수 34일, 연간 총근로시간수 257,600시간

 

도수율, 강도율, 연천인율, 종합재해지수 계산 (12-1)

[조건] 평균 근로자수: 540명, 연 재해건수: 12건, 재해자수; 15명, 근로손실일수: 6,500일,

          일 9시간 연간 280일 근무

 


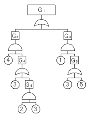
[FT도]

[① 컷셋]

cf) 컷셋: 시스템이 고장나게 하는 기본사상의 조합(=정상사상(top event)을 일으키는)

cf) 정상사상(top event)는 ‘고장’나는 것임  정상은 good의 의미가 아니므로 오해 금지

 

 컷셋을 모두 구하시오 (20-2, 20-4, 16-1)

 

 컷셋을 모두 구하시오 (13-1)

 

 

 

[② 미니멀 컷셋]

cf) 미니멀 컷셋: 시스템이 고장나게 하는 ‘최소한’의 기본사상의 조합

 

 미니멀 컷셋을 구하시오 (20-3, 17-1)

 

 

 

[③ 미니멀 패스셋(최소 패스셋)]

▣ 최소 패스셋을 모두 구하시오 (13-2)

 

 

[④ 고장발생확률]

 고장 발생 확률을 구하시오 (발생확률은 각각 0.1) (12-3)

 

 

 고장 발생 확률을 구하시오. (발생확률은 X1:0.03, X2:0.37, X3:0.2, X4:0.2)

 


[그 외 도면]

 부품2(X2)의 고장을 초기사상으로 하여 사건 나무(event tree)를 그리고

     각 가지마다 시스템의 작동여부를 “작동” 또는 “고장”으로 표시하시오 (16-1)

[답] *X3는 X2가 고장이므로 사건 나무(event tree)에서 제외


[안전거리]

 감응식 방호장치 프레스~200[ms] 후에 정지~방호장치 안전거리는? (20-2, 16-1)

     광전자식 프레스 방호장치 급정지 시간이 200[m/s] 시 급정지거리? (11-3)

 

 클러치 맞물림 개수 4, 200[SPM]의 양수기동식 안전장치의 안전거리? (17-1)

 

▣ 롤러의 직경 50[cm], 회전수 1,000[rpm] 표면속도 및 급정지거리는? (12-2)

 


[심실세동전류]

▣  전압 100[V]인 충전부분에 물에 젖은 작업자의 손이 접촉하여 사망하였음

     ①심실세동전류[mA], 통전시간[]을 구하시오

     (인체의 저항은 5,000[], 소수 넷째자리에서 반올림 할 것) (14-1)

 

전압 300[V]인 충전부분에 물에 젖은 작업자의 손이 접촉하여 사망하였음

    ①심실세동전류[mA], 통전시간[ms]을 구하시오

    (인체의 저항은 1,000[]으로 할 것) (21-1, 14-3)

 

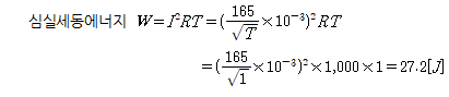
▣ C.F.DALZIEL의 관계식을 이용하여 심실세동 에너지[J] 계산을 구하시오

    (통전시간은 1[초], 인체의 전기저항은 1,000[Ω]으로 할 것) (12-2)

 


[휴식시간/RMR]

산소에너지당량은 5[kcal/L], 작업 시 산소소비량은 1.5[L/min]

     작업 시 평균에너지소비량 상한은 5[kcal/min],

     휴식 시 평균에너지소비량은 1.5[kcal/min],

     작업시간 60분일 때 휴식시간을 구하시오 (17-3) 

 

도끼로 나무를 자르는 데 소요되는 에너지는 분당 8[kcal],

     작업에 대한 평균에너지 5[kcal/min],

     휴식에너지 15[kcal/min], 작업시간 60분일 때 휴식시간을 구하시오 (14-2)

 

▣ 기초대사시 소비에너지 6,000[cal], 작업시 소비에너지 20,000[cal]

     안정시 소비에너지 7,00[cal]일 때, RMR은? (19-1)

 

 


[시력]

▣ 4[m] 거리에서 landolt ring(란돌트 고리)를 1.2[mm]까지 구별할 수 있는 시력?

     (시각은 60[°]이하 일 때이며, radian 단위를 분으로 환산하기 위한 상수값은 57.3과 60을 적용하여 계산) (14-1)

 


[소리]

▣ 20m 떨어진 곳에서 100dB, 동일 기계 200m 떨어진 곳의 음압수준은? (20-3, 18-2)

 

▣ 실내 작업장 8시간 작업 시 85[dBA] 2시간, 90[dBA] 4시간, 95[dBA] 2시간일 떄

    1. 소음노출수준[%]를 구하고

    2. 소음노출기준 초과여부는? (16-2)

소음[dB] 80 85 90 95 100 105 110
시간[시] 32 16 8 4 2 1 0.5

 


[조도]

▣ 2[m] 거리에서 조도가 120[lux]라면 3[m]에서는 조도가 얼마인가? (19-1)

 


[극한 강도/하중]

▣ 안전계수 5, 허용하중 1,200[N]이라면, 이 체인의 극한 강도[N]는? (19-1)

 

▣ 980[kg] 화물을 두 줄걸이 로프~ 상부 각도 90[°], 와이어로프 걸리는 하중? (16-3)

 


[화학]

[폭발하한계]

1) 아세틸렌의 위험도

     2) 아세틸렌 70[%], 클로로벤젠 30[%], 혼합기체 폭발하한계의 값은? (21-2, 16-3)

 

[최소산도농도]

▣  부탄이 완전 연소하기 위한 화학양론식을 쓰고 완전 연소에 필요한 최소산소농도는?

      (부탄 연소하한계 1.9[vol%]) (18-3)


[파과시간]

▣ 시험가스 농도가 0.2[%], 표준유효시간이 100분일 때,

     사염화탄소가스 농도가 0.5[%]일 때 방독마스크 파과시간은? (13-1)

 


[지게차]

▣ 지게차의 중량(G)이 1[ton]이고, 앞바퀴에서 화물의 중심까지의 거리(a)가 1.25[m]

     앞바퀴로부터 차의 중심까지의 거리(b)가 1.25[m]일 경우

     지게차의 안정을 유지하기 위한 최대 화물중량(W)는 얼마인가? (11-3)

 


[산업안전보건관리비]

▣ ① 일반건설 갑

    ② 낙찰률 70%, 재료비 25억, 관급재료비 3억, 직접노무비 10억, 관리비(간접비포함) 10억

    일 때, 산업안전보건관리비를 계산하시오. (21-2)

 

    * 일반건설공사(갑)

     법적 요율: 1.86%

     기초액: 5,349,000원

 

    * 산업안전보건관리비 … ①

    = (관급재료비+사급재료비+직접노무비)×요율[%]+기초액

    = (300,000,000+2,500,000,000+1,000,000,000)×0.0186+5,349,000

    = 76,029,000원

 

    * 산업안전보건관리비 … ②

    = (대상액(사급재료비+직접노무비))×요율×1.2

    = (2,500,000,000+1,000,000,000)×0.0186×1.2

    = 78,120,000원

 

    ∴ ①과 ② 중 작은 것을 선택하면 76,029,000원

 

 

▼ 해당 글이 도움이 되셨다면 '공감'과 '댓글' 부탁드립니다.

댓글